达孚PEI聚醚酰亚胺薄膜
产品简介
颜色:本色或者黑色 表面纹理:光面/哑光,哑光/中砂 厚度:0.025-0.5MM 宽度:≤1050MM 耐温性能:相对温度指数 170℃
PEI FILM(聚醚酰亚胺薄膜)
特点:
Characteristic:
无定型热塑性耐高温薄膜。(可以在170℃-180℃范围内长期使用)
Amorphous thermoplastic high temperature resistant film. (Can be used for a long time in the range of 160℃-180℃)
在高温下具有极高的强度和模量等机械性能。极佳的尺寸稳定性。(蠕变敏感度低,热膨胀系数低且均匀)
Mechanical properties such as extremely high strength and modulus at elevated temperatures. Excellent dimensional stability. (low creep sensitivity, low and uniform coefficient of thermal expansion)
优良的绝缘性能,在较宽的温度和频率范围内具有稳定的介电常数(Dk)和低损耗因数(Df)。
优良的阻燃性,并且发烟量低,符合ABD、FAR和NBS要求。
Excellent insulating properties, stable dielectric constant (Dk) and low dissipation factor (Df) over a wide temperature and frequency range.
Excellent flame retardancy and low smoke generation, in line with ABD, FAR and NBS requirements.
出色的耐化学腐蚀性,可耐大多数油脂、洗涤剂和消毒剂的腐蚀。可经受各种消毒方法。
具有对可见光、红外线和微波的穿透性。
Excellent chemical resistance to most oils, detergents and disinfectants. Can withstand a variety of disinfection methods.
With visible light, infrared and microwave penetration.
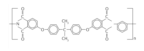
分子式结构:
Molecular structure:

PEI薄膜的应用场景
APPLICATION OF PEI FILM
PEI薄膜的主要应用的场景:有防水防尘透气等特殊要求的电子电气行业,扬声器振膜,耐高温超级电容器等。以及新能源制氢,绿氢,酸式制氢等。
The main application scenarios of PEI film: electronic and electrical industries with special requirements such as waterproof, dustproof and breathable, speaker diaphragm, high temperature supercapacitor, etc.


